문제 : https://www.acmicpc.net/problem/11444
11444번: 피보나치 수 6
첫째 줄에 n이 주어진다. n은 1,000,000,000,000,000,000보다 작거나 같은 자연수이다.
www.acmicpc.net
문제 요약 : n 번째 피보나치수를 1000000007로 나눈 나머지 출력
| 입력 | 출력 |
| 1 ≤ n ≤ 1000000000000000000 (10^18) |
n 번째 피보나치수를 1000000007로 나눈 나머지 출력 |
JAVA
소스코드 : https://github.com/cbkpar/BOJ/blob/main/boj_11444.java
| 채점 번호 | 아이디 | 문제 번호 | 결과 | 메모리 | 시간 | 언어 | 코드 길이 |
| 31653078 | cbkpar | 11444 | 맞았습니다!! | 14312KB | 140ms | Java 11 | 978B |
import java.io.BufferedReader;
import java.io.IOException;
import java.io.InputStreamReader;
public class Main {
public static void main(String args[]) throws IOException {
BufferedReader br = new BufferedReader(new InputStreamReader(System.in));
int i,j,k;
long n;
long[][] narr = new long[2][2];
long[][] tarr = new long[2][2];
n = Long.parseLong(br.readLine());
n--;
narr[0][0] = narr[1][1] = 1;
tarr[0][0] = tarr[0][1] = tarr[1][0] = 1;
while(n>0) {
if(n%2==1) {
long[][] sarr = new long[2][2];
for(i=0;i<2;i++) for(j=0;j<2;j++) for(k=0;k<2;k++) sarr[i][j] += narr[i][k]*tarr[k][j];
for(i=0;i<2;i++) for(j=0;j<2;j++) narr[i][j] = sarr[i][j]%1000000007;
}
long[][] sarr = new long[2][2];
for(i=0;i<2;i++) for(j=0;j<2;j++) for(k=0;k<2;k++) sarr[i][j] += tarr[i][k]*tarr[k][j];
for(i=0;i<2;i++) for(j=0;j<2;j++) tarr[i][j] = sarr[i][j]%1000000007;
n/=2;
}
System.out.println((narr[1][0]+narr[1][1])%1000000007);
}
}

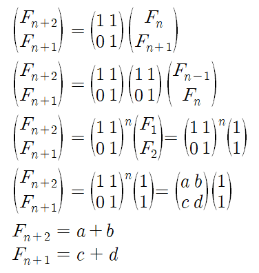
이 문제를 풀기 위해서는 위와 같은 식을 이용해 구해야 한다.
이때 n이 상당히 크므로 한번씩 계산하면 시간 초과가 난다.
초기에는 narr을 단위행렬(E), tarr을 {{1,1},{0,1}}로 초기화하고
sarr을 배열의 복사를 위해 사용한다.
이때 F_n+1값을 구하게 되므로 n에서 1을 빼고 다음과 같이 진행한다.
n이 0보다 클때까지
1. n을 2로 나눴을 때 나머지가 1 일 경우에는 narr에 tarr을 곱해주고 tarr을 거듭제곱해준다.
2. n을 2로 나눴을 때 나머지가 0 일 경우에는 tarr을 거듭제곱해준다.
3. n을 2로 나눠준다.
n이 0이 됐을 경우 (c+d) 값을 1000000007로 나눈 나머지를 출력하면 된다.
예제 ) n = 1000일 경우
n에서 1을 빼주고 위 과정을 진행한다.

'백준온라인' 카테고리의 다른 글
| [백준온라인] 13773번 Olympic Games (0) | 2021.08.08 |
|---|---|
| [백준온라인] 15926번 현욱은 괄호왕이야!! (0) | 2021.08.07 |
| [백준온라인] 2003번 수들의 합 2 (0) | 2021.08.05 |
| [백준온라인] 1356번 유진수 (0) | 2021.08.04 |
| [백준온라인] 2546번 경제학과 정원영 (0) | 2021.08.03 |